| Головна » Статті » Землевпоряднику |
Визначення середньозваженого балу за агровиробничою групою ґрунтів.
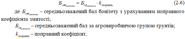
| За результатами балів бонітету для всіх агрогруп у розрізі діагностичних ознак, визначається середньозважений бал за агровиробничою групою ґрунтів. Для цього спочатку вираховуємо ціну бала для окремої сільськогосподарської культури. Ціна бала визначається за такою формулою: ![]() де Ц – ціна еталонної властивості ґрунту; Ме – показник фосфору (Р2О5, мг/100г), калію (К2О, мг/100г), кислотності рH, процентної глибини гумусового горизонту, процентного вмісту гумусу в ґрунті на еталонній агрогрупі. Визначення середньозваженого бала за агровиробничою групою ґрунтів проводимо за формулою 2.5: ![]() БрН – бал бонітету кислотності рH на досліджуваній агрогрупі; ЦрН – ціна показника кислотності рH на еталонній агрогрупі; Бггг – бал бонітету процентної глибини гумусового горизонту на досліджуваній агрогрупі; Ц.ггг – ціна показника процентної глибини гумусового горизонту на еталонній агрогрупі; Бвг – бал бонітету процентного вмісту гумусу у ґрунті на досліджуваній агрогрупі; Цвг – ціна показника процентного вмісту гумусу у ґрунті на еталонній агрогрупі. Так, наприклад, ціна бала для фосфору на агрогрупі І дорівнює: ![]() Після визначення ціни бала для всіх показників критеріїв бонітування за формулою 4.5 знаходимо середньозважений бал бонітету за агровиробничими групами ґрунтів. Так, для агрогрупи І середньозважений бал бонітету становить: ![]() Наступним кроком є визначення середньозваженого бала бонітету з урахуванням поправного коефіцієнта змитості. Ерозійні процеси негативно впливають не тільки на природні властивості ґрунту, але й на урожайність сільськогосподарських культур. Для врахування дії ерозійних процесів вводяться відповідні поправні коефіцієнти: • для слабозмитих земель – 0,81; • для середньозмитих земель – 0,66; • для сильнозмитих земель – 0,50. Середньозважений бал бонітету з урахуванням поправного коефіцієнта змитості визначається за формулою: ![]() Для того, щоб визначити ступінь прояву ерозійних процесів на тій чи іншій агрогрупі, скористаємося даними опису ґрунтів, які занесені до табл. 11. Так, відповідно до нашого прикладу встановлено, що ґрунти агрогрупи III слабозмиті, агрогрупи IV – середньозмиті, агрогрупи V – сильнозмиті. Отже, отримуємо відкориговані значення бала бонітету: • для агрогрупи III – Б = 95,5•0,81 = 77,4; • для агрогрупи IV – Б = 87,2•0,66 = 57,5; • для агрогрупи V – Б = 79,6•0,50 = 39,8. Для всіх інших агрогруп бал бонітету залишається без змін. Узагальнення даних статистичної обробки завершується визначенням показників в цілому по об’єкту оцінки. У лабораторній роботі таким показником є середньозважений бал бонітету за наявними агрогрупами з урахуванням поправного коефіцієнта змитості ґрунтів по землекористуванню, який визначається за формулою: ![]() де Бз/к – середньозважений бал бонітету по землекористуванню; Бі – середньозважений бал бонітету з урахуванням коефіцієнта змитості на і-агрогрупі; Рі - площа і-агрогрупи. Для нашого прикладу середньозважений бал бонітету за наявними агрогрупами з урахуванням поправного коефіцієнта змитості ґрунтів по землекористуванню становить: ![]() Бали бонітету ґрунтів по областях України*
* Джерело таблиці: Землі сільськогосподарського призначення: права громадян України. Науково-навчальний посібник // За ред. д.ю.н., проф., Н.І.Титової. – Л.: ПАІС, 2005. – С.42. Джерело матеріалу: Державний земельний кадастр. Практичний посібник. 2013 | |||||||||||||||||||||||||||||||||||||||||||||||||||||||
| Переглядів: 7172 | | | |||||||||||||||||||||||||||||||||||||||||||||||||||||||
| Всього коментарів: 0 | |






